025-69797641
181 0158 2701
以创新为生存之源,以质量为发展之本,为生命科学事业发展,贡献一份力量!
点击了解更多>>
丰渺生物
Cmvbio
Engineered to move the human spirit! The Relentless Pursuit of Perfection! No business too small, no problem too big.
PRODUCT / 产品详情
EthD-I-膜非透性细胞核染料

EthD-I-膜非透性细胞核染料

货号:C2907
规格:1mg
价格:¥2,680.00


0.00
0.00
货号:
规格:
  
产品规格:
货号:C2907
规格:1mg
价格:¥2,680.00



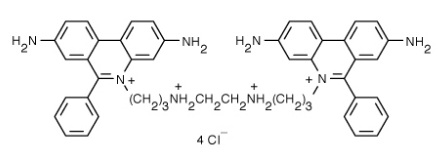
Ethidium Homodimer-I (EthD-I)是一种高亲和性的荧光核酸染料,与 DNA 或 RNA 结合后,可以使荧光增强 30 多倍。Ethidium Homodimer-I (EthD-I)带有较强正电荷,所以该染料不能穿过细胞膜进行活细胞染色。但是 EthD-I 可以准确的检测溶液中的核酸或者解体细胞中的核酸,是一种较灵敏的核酸染色剂。


产品参数:

可溶于 DMSO 和 MeOH 的红色固体

λEx/λEm = 528/617 nm(结合 DNA)

λEx/λEm = 493 nm(未结合 DNA)

分子式:C46H50Cl4N8

分子量:856.77

贮存条件:

-20ºC避光保存,12 个月


案例分析:

注意事项:

1. 荧光染料均存在淬灭问题,请尽量注意避光,以减缓荧光淬灭。

2. 为了您的安全和健康,请穿实验服并戴一次性手套操作。


货号产品名称规格价格
C2901DAPI染色液10mL¥680.00
C2902Hoechst33342染色液10mL¥680.00
C2903Propidium Iodide-碘化丙啶10mL¥680.00
C2904Green488活细胞核染料10mL¥680.00
C2905Green488死细胞核染料10mL¥680.00
C2906EMA-叠氮溴化乙锭5mL¥2,680.00
C2907EthD-I1mg¥2,860.00
C2908Green live-cell nucleic acid stain绿色活细胞核酸染料1mL¥960.00
C2909Green dead-cell nucleic acid stain死细胞绿色荧光染料1mL¥960.00
C2910Acridine orange-吖啶橙1mL¥260.00
C2911DRAQ5-远红外荧光活细胞 DNA 染料50μL¥2,200.00
C2912Calcein blue AM-钙黄绿素蓝乙酰甲酯1mg¥1,600.00
C2913Calcein AM-钙黄绿素乙酰甲酯1mg¥2,200.00
C2914BCECF AM-pH荧光探针,细胞质1mg¥2,100.00
C2915CFDA SE-细胞增殖示踪25mg¥1,800.00
C2916CDCFDA SE-活细胞荧光示踪25mg¥1,800.00
C2917CellMaker Blue CMAC-细胞质示踪蓝色荧光5mg¥2,100.00
C2918CellMaker Green CMFDA-细胞质示踪绿色荧光1mg¥2,200.00
C2919Monobromobimane (mBBr)-单溴二胺25mg¥1,200.00
C2920DiO perchlorate-细胞膜绿色荧光25mg¥2,200.00
C2921Dil perchlorate-细胞膜橙红色荧光25mg¥2,200.00
C2922DiD perchlorate-细胞膜红色荧光25mg¥2,200.00
C2923DiR iodide-细胞膜紫红色荧光10mg¥2,200.00
C2924聚醚多元醇-细胞加载染料增强剂1mL¥560.00
C2925MitoMaker Orange CMTMRos-线粒体橙色荧光1mL¥2,100.00
C2926MitoMaker Red CMXRos-线粒体红色荧光1mL¥1,800.00
C2927Rhodamine 123-罗丹明 12325mg¥1,800.00
C2928JC-1 Mitochondrial Potential Probe-线粒体荧光探针)1mg¥2,100.00
C2929Dihydrorhodamine 123-二氢罗丹明 12310mg¥2,100.00
C2930JC-1线粒体膜电位检测试剂盒100T¥960.00
C2931JC-10线粒体膜电位检测试剂盒100T¥960.00
C2932LysoView Blue-溶酶体蓝色荧光1mL¥1,800.00
C2933LysoView Green-溶酶体绿色荧光1mL¥1,800.00
C2934NBD C6-Ceramide-高尔基体荧光1mg¥2,200.00
C2935DiOC6(3)-内质网绿色荧光25mg¥1,800.00
C2936ActinGreen 488 Probes-细胞骨架绿色荧光5mL¥2,200.00
C2937ActinRed 555 Probes-细胞骨架红色荧光5mL¥2,200.00


  • 姓名
  • 单位
  • 电话
  • 内容
提交